• Предмет: Алгебра
  • Автор: Yrkova666
  • Вопрос задан 11 лет назад

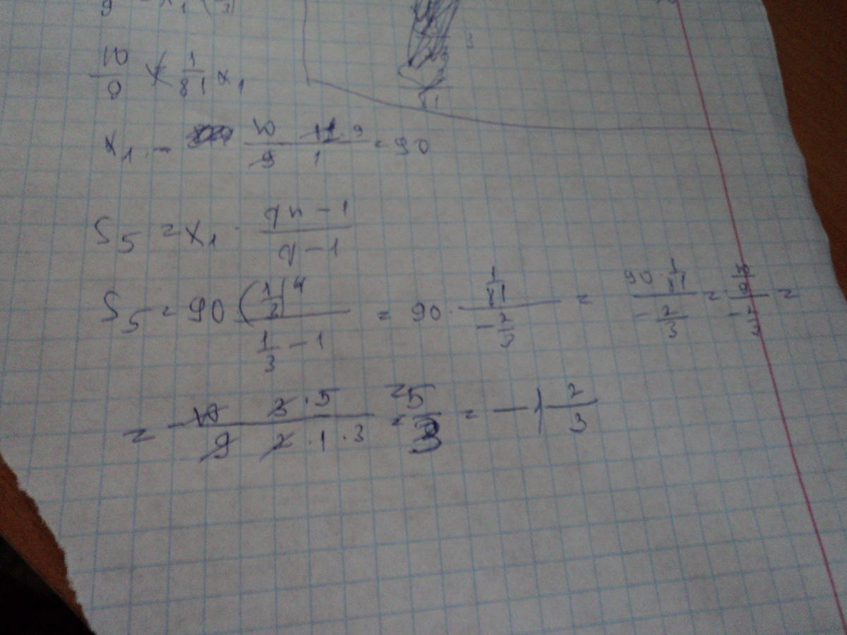
помогите решит срочно! найдите сумму первых пяти членов геометрической прогрессии (Хn),если X5=10/9,q=1/3

Ответы

Ответ дал: reHuu
0

есть формула у Гео.прогресий  bn = b1qn - 1     поставь просто на места и все 

Ответ дал: zemfira12
0

конечно,точно незнаю,возможно так=)

Приложения:
Вас заинтересует