• Предмет: Информатика
  • Автор: olegxalizovff2
  • Вопрос задан 10 лет назад

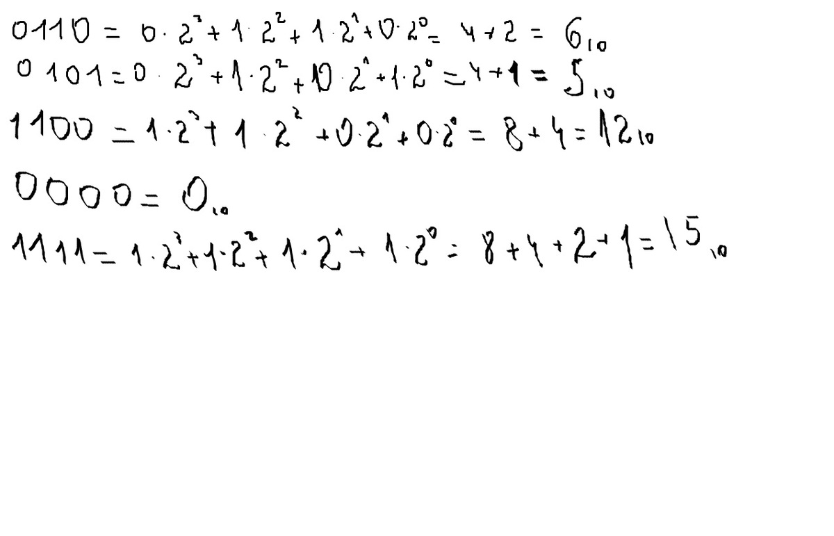
Переведите в десятичный код
Из двоичного
0110
0101
1100
0000
1111

с объяснением пожалуйста.

Ответы

Ответ дал: Аноним
0
решение прикреплено с файлом
_____________________________---
Приложения:
Вас заинтересует