помогите срочно надо
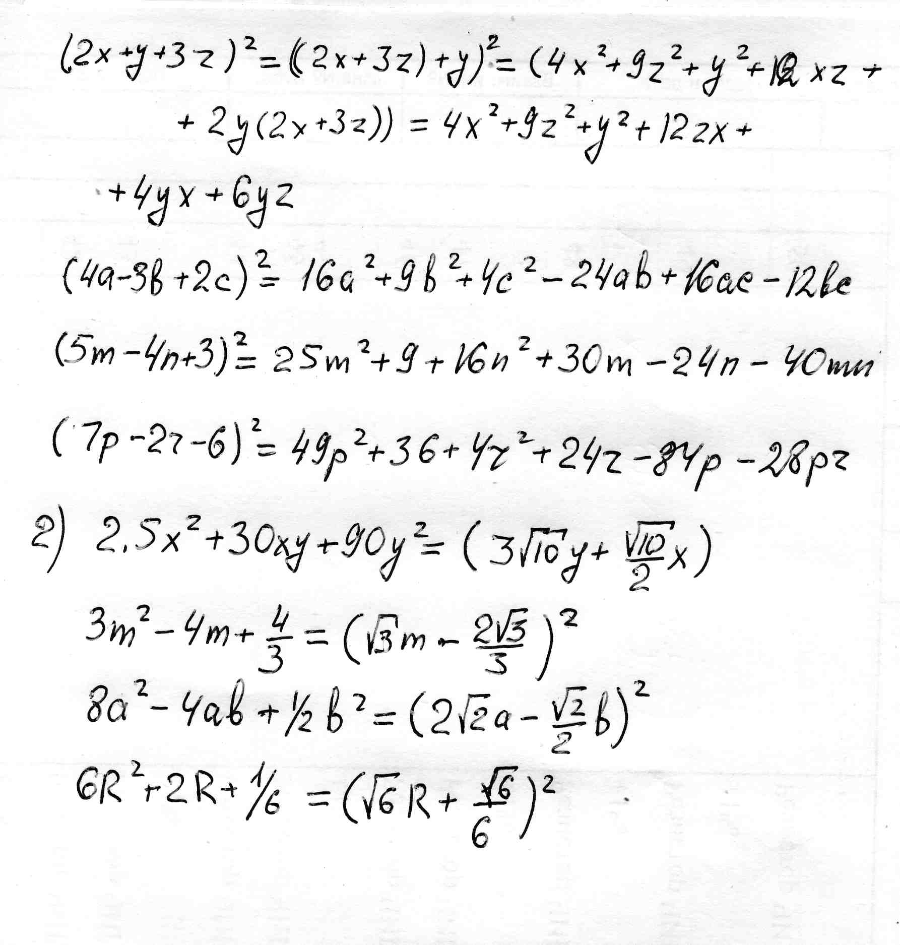
1) представьте в виде многочлена выражение:
а) (2x+y+3z)^2
б) (4a-3b+2c)^2
в) (5m-4n+3)^2
г) (7p-2r-6)^2
2)представьте в виде произведения многочлен:
а) 2.5x^2+30xy+90y^2
б) 3m^2-4m+ 4/3
в) 8a^2-4ab+1/2b^2
г)6R^2+2R+1/6
Ответы
Ответ дал:
0
решение в приложении.................................
3m^2-4m+4/3=(sqrt(3)*m)^2-2*sqrt(3)*m*2/sqrt(3)+(2/sqrt(3))^2=(sqrt(3)m-2/sqrt(3))^2
Приложения:

Вас заинтересует
2 года назад
8 лет назад
10 лет назад
10 лет назад
10 лет назад