• Предмет: Алгебра
  • Автор: olgaZema
  • Вопрос задан 10 лет назад

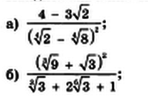
пожалуйста помогите + лучший ответ. Найдите значение выражения

Приложения:

Ответа на этот вопрос пока нет. Попробуйте найти его через форму поиска.

Вас заинтересует