• Предмет: Математика
  • Автор: lexactolbov09
  • Вопрос задан 10 лет назад

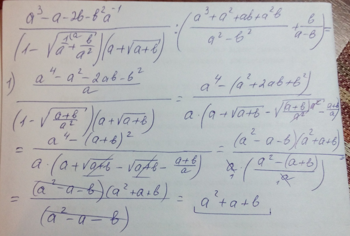
Решите 21. 2.025.вариант

Приложения:

Ответы

Ответ дал: kalbim
0
После упрощения получается: a-b=23-22=1 при a=23, b=22

Ответ: 1

Как упрощала - на фото
Приложения:
Вас заинтересует