Ответы
Ответ дал:
0
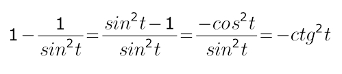
Решаем по основным тригонометрическим тождествам.
Приложения:

Ответ дал:
0
одну ошибку у вас нашел
Ответ дал:
0
будет -ctg^2t
Ответ дал:
0
так как из синуса 1 вычитается, а не синус из единицы
Ответ дал:
0
Да,минус потеряла.,
Ответ дал:
0
привести все к общему знаменателю...
Приложения:

Вас заинтересует
2 года назад
7 лет назад
7 лет назад
10 лет назад
10 лет назад
10 лет назад
10 лет назад