Ответы
Ответ дал:
0
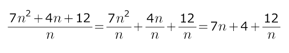
если разложить на отдельные слагаемые,
то станет очевидно, что n >= 12 и кратно 12...
n = 12, 24, 36, 48,
то станет очевидно, что n >= 12 и кратно 12...
n = 12, 24, 36, 48,
Приложения:

Вас заинтересует
2 года назад
2 года назад
7 лет назад
10 лет назад
10 лет назад
10 лет назад