Ответы
Ответ дал:
0
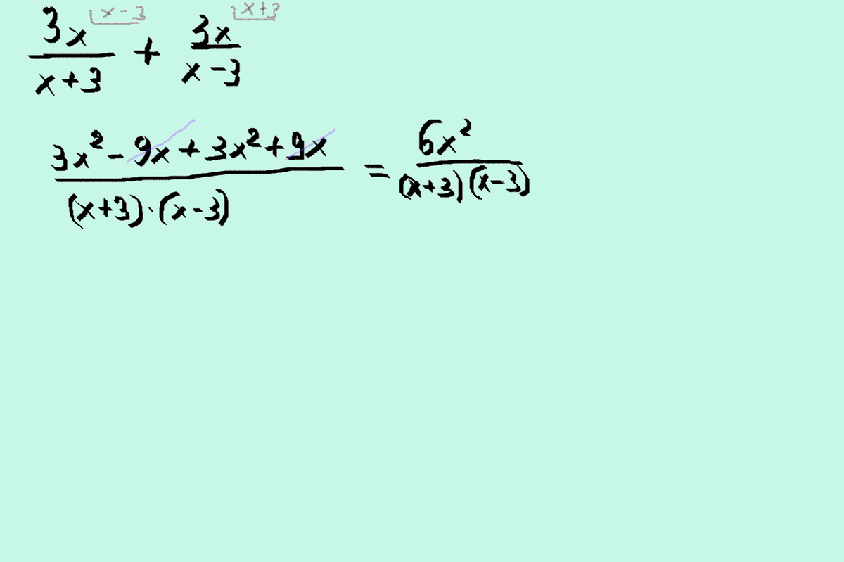
Вот решение уравнения:
Приложения:

Ответ дал:
0
пасибо огромное!)
Ответ дал:
0
пожалуйста!
Вас заинтересует
2 года назад
7 лет назад
10 лет назад
10 лет назад
10 лет назад
10 лет назад