Ответы
Ответ дал:
0
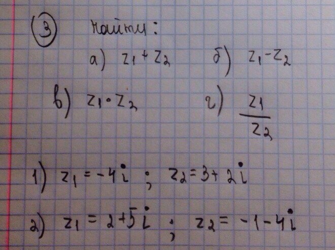
а) z1 + z2
если z1= -4j, z2= 3 +2j, то -4j+3+2j= -2j+3
если z1= 2+5j, z2=-1-4j, то 2+5j+(-1)-4j=1+j
б) z1- z2
если z1= -4j, z2=3+2j,то -4j-3+2j=2j-3
если z1= 2+5j, z2= -1-4j,то 2+5j+1-4j=3+j
в) z1*z2
если z1= -4j, z2=3+2j, то -4j*3+2j=- 8j+3
если z1=2+5j, z2= -1-4j, то 2+5j*(-1)-4j=-2-20j
г) z1:z2
если z1= -4j, z2=3+2j,то -4j:3+2j= - 2j+3
если z1=2+5j, z2= -1-4j, то 2+5j:(-1)-4j=-2-1,25j
если z1= -4j, z2= 3 +2j, то -4j+3+2j= -2j+3
если z1= 2+5j, z2=-1-4j, то 2+5j+(-1)-4j=1+j
б) z1- z2
если z1= -4j, z2=3+2j,то -4j-3+2j=2j-3
если z1= 2+5j, z2= -1-4j,то 2+5j+1-4j=3+j
в) z1*z2
если z1= -4j, z2=3+2j, то -4j*3+2j=- 8j+3
если z1=2+5j, z2= -1-4j, то 2+5j*(-1)-4j=-2-20j
г) z1:z2
если z1= -4j, z2=3+2j,то -4j:3+2j= - 2j+3
если z1=2+5j, z2= -1-4j, то 2+5j:(-1)-4j=-2-1,25j
Вас заинтересует
3 года назад
3 года назад
8 лет назад
10 лет назад
11 лет назад