КТО НИБУДЬ ПОМОГИТЕ ЗА ПРАВИЛЬНЫЙ ОТВЕТ СТАВЛЮ 25 БАЛЛОВ
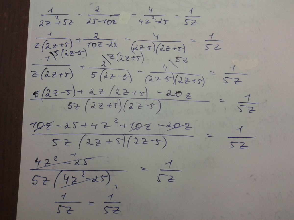
номер 4.55 доказать тождество.
Приложения:

Ответы
Ответ дал:
0
Всё подробно написала в решении.
Приложения:

Вас заинтересует
2 года назад
7 лет назад
7 лет назад
10 лет назад
10 лет назад
10 лет назад