Ответы
Ответ дал:
0
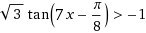
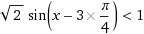
Всё подробно написала в решении.
Приложения:



Вас заинтересует
2 года назад
7 лет назад
7 лет назад
10 лет назад
10 лет назад
10 лет назад