• Предмет: Алгебра
  • Автор: lt20
  • Вопрос задан 10 лет назад

Помогите! Пожалуйста! Срочно нужно!

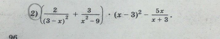
Приложения:

Ответы

Ответ дал: XGuruX
0
С телефона не смог загрузить фото, поэтому отправид на фаилообменник http://rghost. ru/8C4VYTbpG Если боитесь - не хаходите. Извините, что так получилось. ( Ответ получился -3/x+3
Вас заинтересует