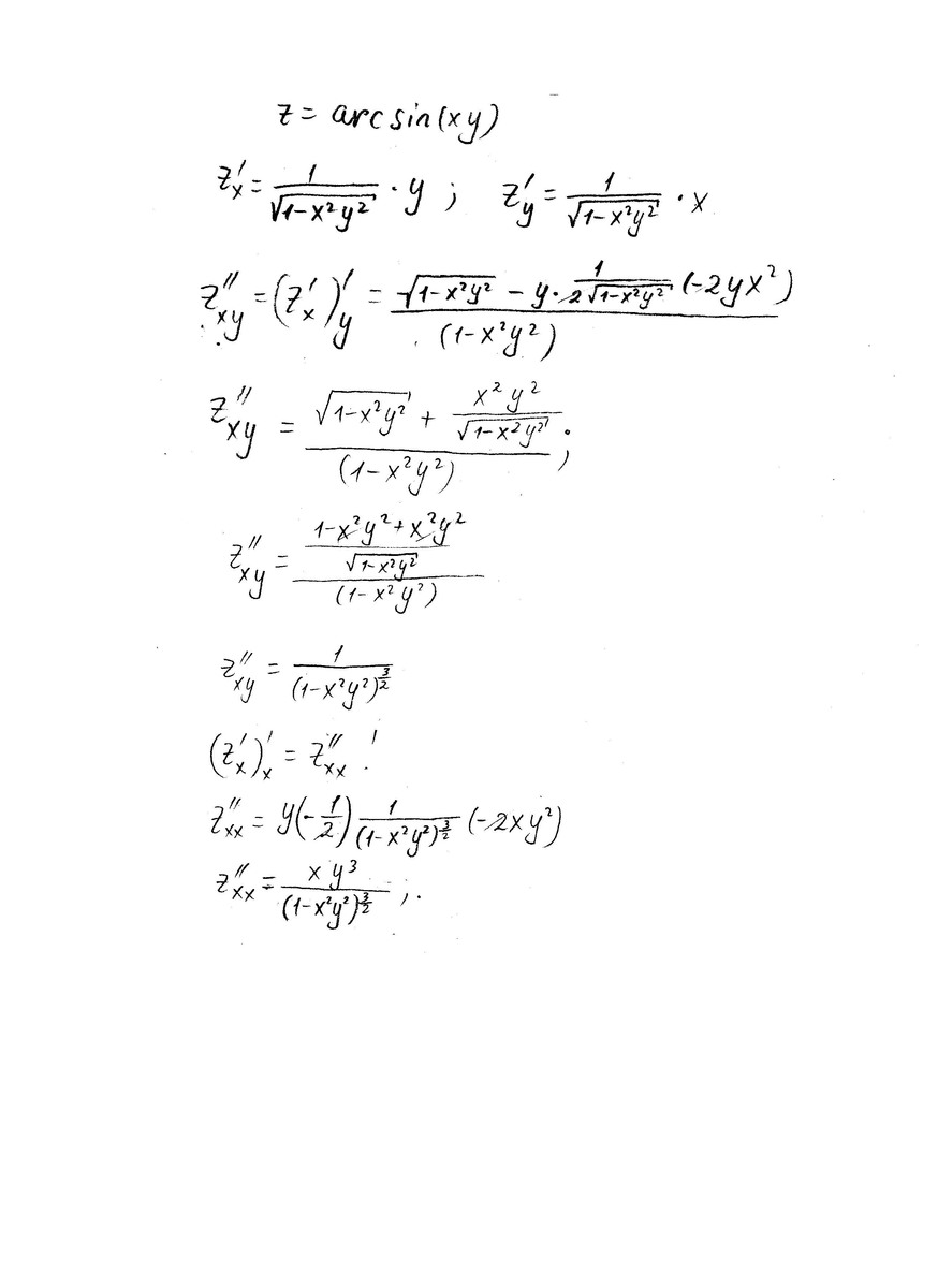
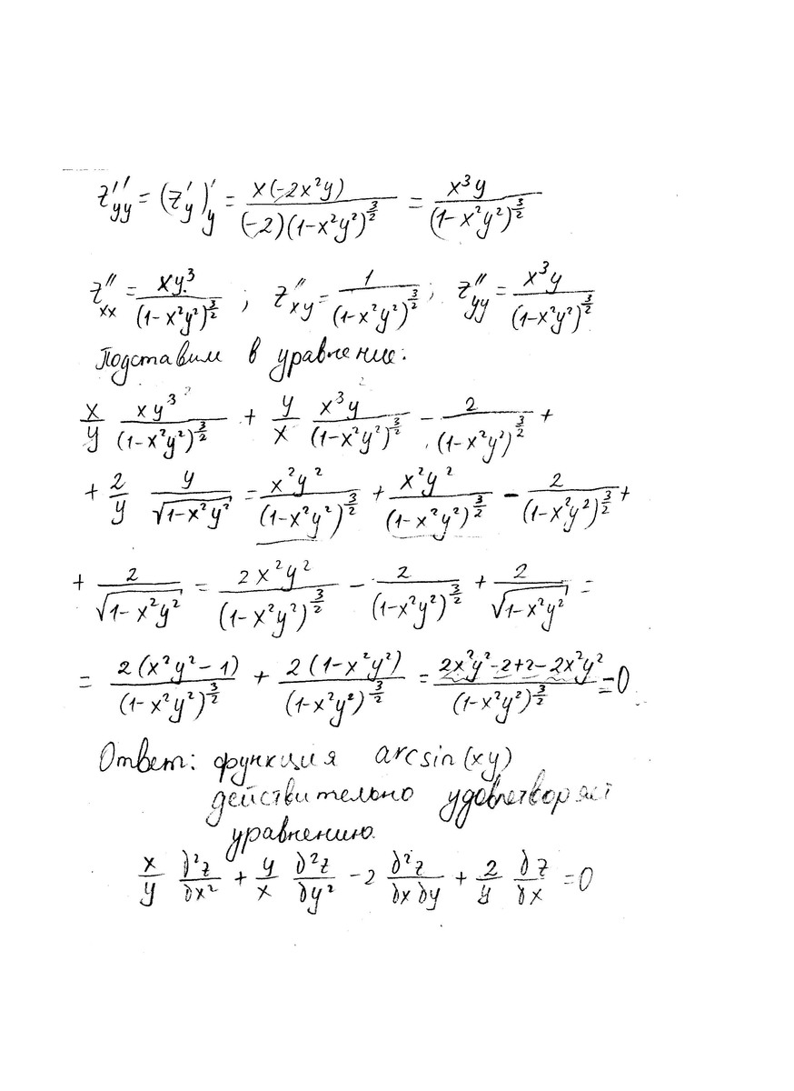
показать что функция z=arcsin(xy) удовлетворяет уравнению x/y*d^2z/dx^2+y/x*d^2z/dxdy+2/y*dz/dx=0
Приложения:

Ответы
Ответ дал:
0
Решение в приложении только 4-й номер.
Приложения:


Ответ дал:
0
огромное спасибо
Вас заинтересует
2 года назад
7 лет назад
10 лет назад
10 лет назад
10 лет назад