• Предмет: Алгебра
  • Автор: Kate360
  • Вопрос задан 10 лет назад

До завтра пожалуйста

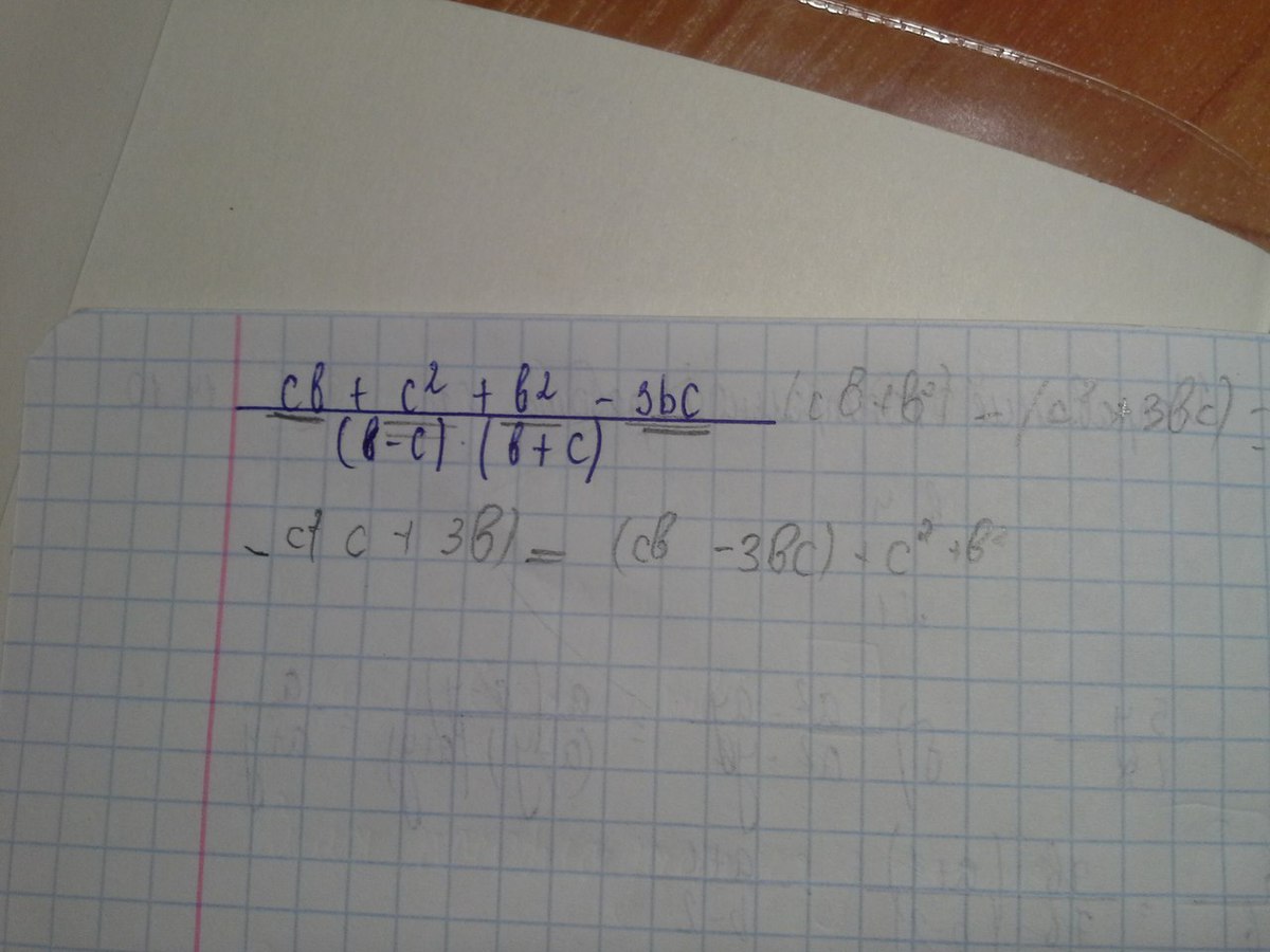
Приложения:

Ответы

Ответ дал: Rossomaxa2001
0
 frac{cb+c ^{2}+b ^{2}-3bc  }{(b-c)*(b+c)}= frac{b ^{2}-2bc+c ^{2}  }{(b-c)*(b+c)}= frac{(b-c) ^{2} }{(b-c)*(b+c)}= frac{b-c}{b+c}
Ответ дал: Rossomaxa2001
0
cb -это то же самое, что и bc
Ответ дал: Rossomaxa2001
0
пожалуйста
Ответ дал: Kate360
0
единственный добрый человек,который помог)
Ответ дал: Rossomaxa2001
0
рада была помочь)
Ответ дал: Kate360
0
^_^
Вас заинтересует