• Предмет: Алгебра
  • Автор: Аноним
  • Вопрос задан 10 лет назад

Определенный интеграл помогите решить
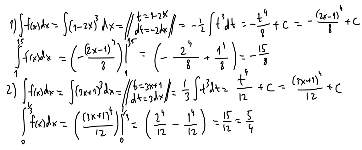
1,5
f =(1-2x)^3dx
1

1/3
f =(3x+1)^3dx
0

Ответы

Ответ дал: nikolac
0
Решение на картинке.
Приложения:
Вас заинтересует