• Предмет: Алгебра
  • Автор: МАрИйКа14
  • Вопрос задан 11 лет назад

Помогите пожалуйста решить 2 номера.

 

Приложения:

Ответы

Ответ дал: Artem112
0

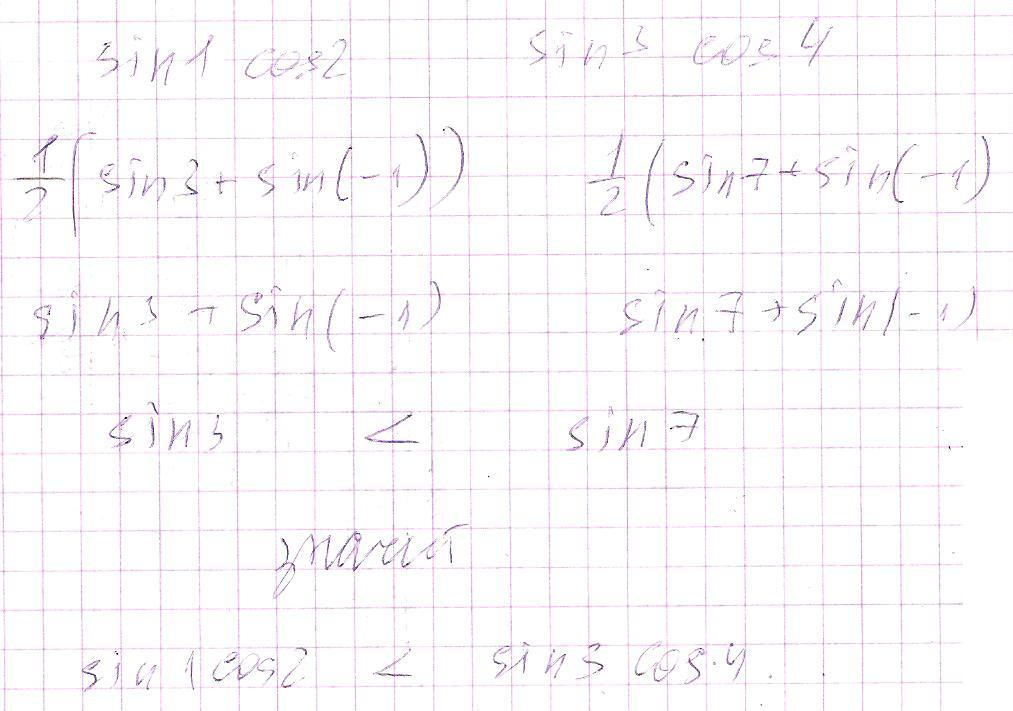
надеюсь будет понятно....

Приложения:
Вас заинтересует