• Предмет: Алгебра
  • Автор: Аноним
  • Вопрос задан 10 лет назад

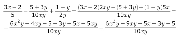
Виконайте дію: frac{3x-2}{5}- frac{5+3y}{10xy}+ frac{1-y}{2y}

Ответы

Ответ дал: manyny06
0
решение смотри на фотографии
Приложения:
Ответ дал: LFP
0
---------------------------------------------
Приложения:
Вас заинтересует
10 лет назад