Ответы
Ответ дал:
0
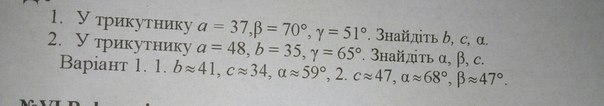
1) 
По теореме синусов:

b≈41,4
Ответ. b=41

c≈34,4
Ответ. с=34
2)По теореме косинусов:

c≈ 47
По теореме синусов:

sin α≈0,93
α≈68°
По теореме синусов:

sin β ≈0,82
β≈47°
Ответ. b≈47; α≈68°; β≈47°
По теореме синусов:
b≈41,4
Ответ. b=41
c≈34,4
Ответ. с=34
2)По теореме косинусов:
c≈ 47
По теореме синусов:
sin α≈0,93
α≈68°
По теореме синусов:
sin β ≈0,82
β≈47°
Ответ. b≈47; α≈68°; β≈47°
Вас заинтересует
3 года назад
8 лет назад
8 лет назад
10 лет назад
10 лет назад
11 лет назад