• Предмет: Геометрия
  • Автор: medgermany
  • Вопрос задан 10 лет назад

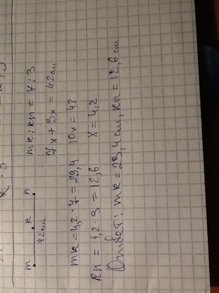
на отрезке mnдлина которого 42 см , отметьте точку k, причем mk:kn=7:3 . найдите длины отрезков

Ответы

Ответ дал: Fedorova61
0
Mk относится к kn как 7 к 3 решим в виде уравнения 7х+3х=42
Приложения:
Вас заинтересует