• Предмет: Алгебра
  • Автор: OhYes
  • Вопрос задан 10 лет назад

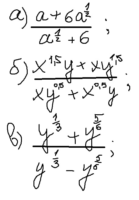
ПОМОГИТЕ СОКРАТИТЬ ДРОБИ!!!
КТО ПОНИМАЕТ, ПОМОГИТЕ!!!
ЗАРАНЕЕ СПАСИБО!!

Приложения:

Ответы

Ответ дал: mishakukla
0
1)a+6:6
2) x0,3 + xy0,3
    ------------------
    xy 1 + x1y
3) y1 + y1:y1 +y1 
не знаю особо



Ответ дал: асановаГ
0
1) a+6a^1/2 : a^1/2+6= a^1/2(a^1/2+6) : a^1/2+6= a^1/2
Вас заинтересует