• Предмет: Математика
  • Автор: Зарина11111111ghfdbc
  • Вопрос задан 10 лет назад

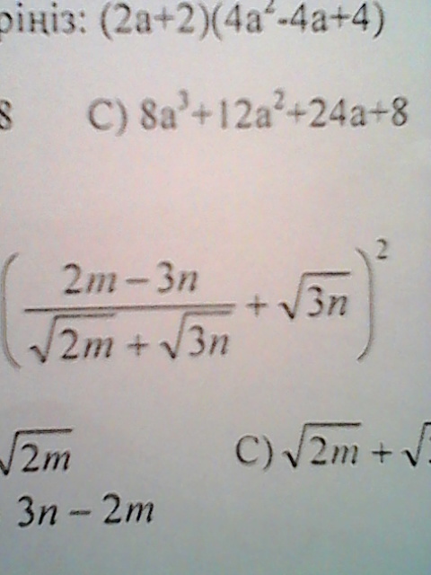
pomogite reshit' ?????????

Приложения:

Ответа на этот вопрос пока нет. Попробуйте найти его через форму поиска.

Вас заинтересует