• Предмет: Алгебра
  • Автор: vassil
  • Вопрос задан 11 лет назад

Решить:

5sin 2x - 2sin x = 0

Ответы

Ответ дал: lovalova7
0
Sinx(5*2-2)=0 Sin x*8=0 Sinx=0 x=pi/2+pin
Ответ дал: СтИльНыЙ
0

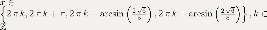
1ОДЗ уравнения

2Дискриминант:

3Действительных корней нет:

4Периодические решения:

5Ответ:

 (Решение уравнения с учётом ОДЗ )

Приложения:
Вас заинтересует