• Предмет: Математика
  • Автор: ericgilmanov
  • Вопрос задан 10 лет назад

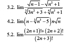
Пределы, помогите решить пределы. Совсем не понимаю, как делать

Приложения:

Ответа на этот вопрос пока нет. Попробуйте найти его через форму поиска.

Вас заинтересует