Помогите с алгеброй, даю 18 баллов.
Помогите преобразовать это: А) 2ab+4b/3a*6a^2/a^2b-4b=2b(a+2)/3a*6a^2/b(a^2-4)=2b(a+2)/1*2a/b*(a-2)(a+2) ( 6a^2 и 3а сокращаем и (a+2) сокращаем)=2b/1*2a/b(a-2)=4a/a-2
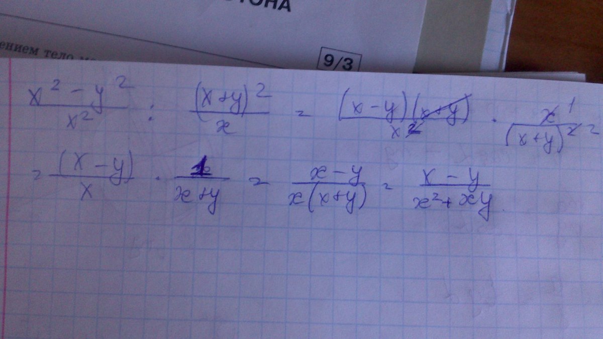
В этот вид как на листке:
10 баллов за ответ
Приложения:

Ответы
Ответ дал:
0
20----------20 5------- - ------с+4с с
Вас заинтересует
2 года назад
7 лет назад
7 лет назад
10 лет назад
10 лет назад
10 лет назад