ОЧЕНЬ ВАЖНО!
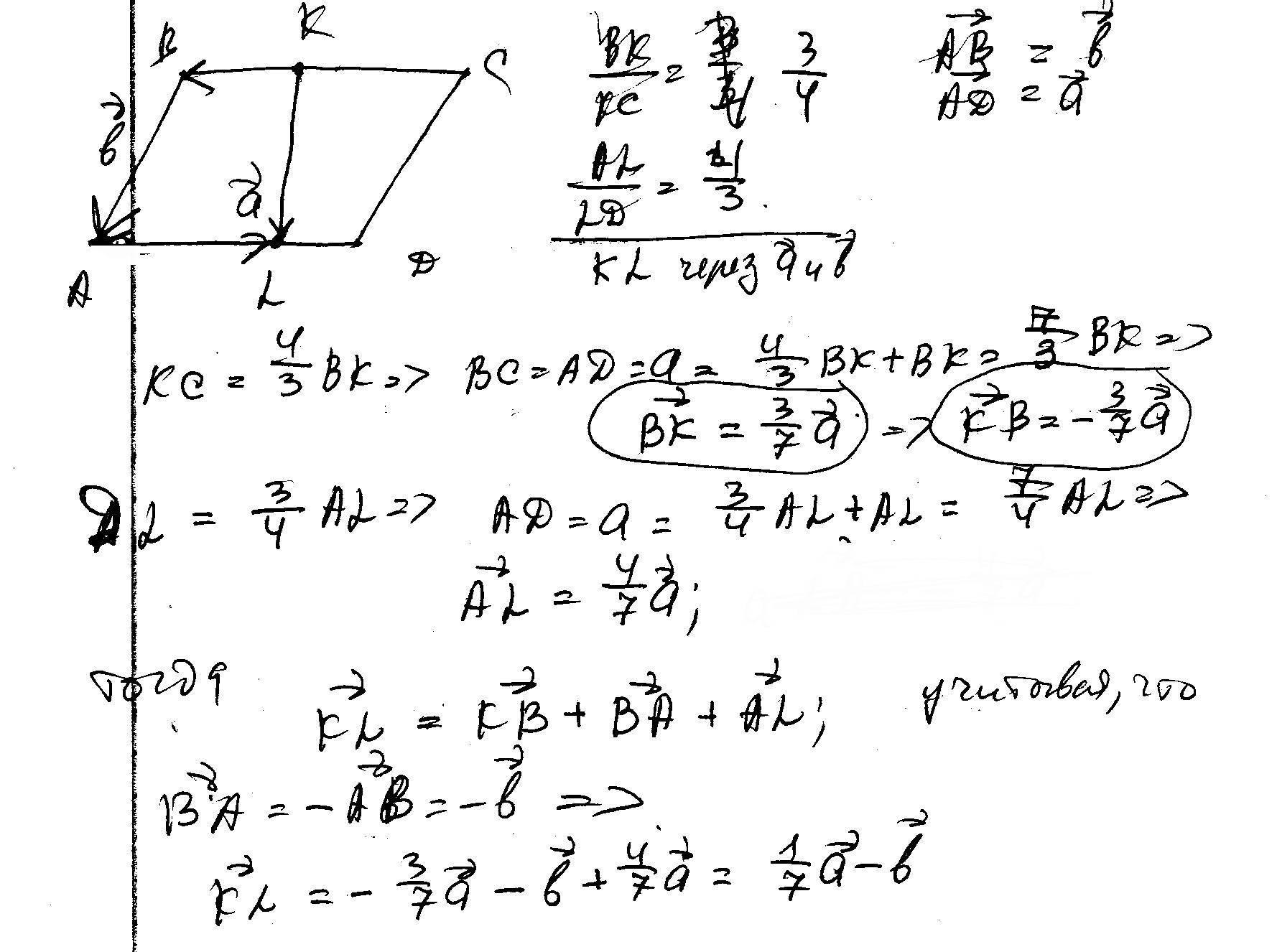
ПОЖАЛУЙСТА, ПОМОГИТЕ!!!в параллелограмме ABCD векторы AD=a, AB=b, K принадлежит BC, L принадлежит AD BK:KC=3:4, AL:LD=4:3. найдите разложение вектора KL по неколлинеарным векторам a и b
№1
Приложения:

Ответы
Ответ дал:
0
решение в скане.............
Приложения:

Вас заинтересует
2 года назад
2 года назад
7 лет назад
10 лет назад