• Предмет: Алгебра
  • Автор: Аноним
  • Вопрос задан 10 лет назад

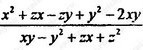
сократите дробь, пожалуйста

Приложения:

Ответы

Ответ дал: nyushiki
0
 frac{x^2+zx-zy+y^2-2xy}{xy-y^2+zx+z^2} = frac{(x^2-2xy+y^2)+(zx-zy)}{(xy+zx)+(z^2-y^2)} = \ =frac{(x-y)^2+z(x-y)}{x(y+z)+(z-y)(z+y)}=frac{(x-y)(x-y+z)}{(y+z)(x-y+z)}= frac{x-y}{y+z}
Вас заинтересует