Ответы
Ответ дал:
0
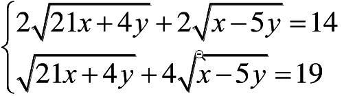
обозначим радикалы за а и в
Получим а+в=7
а+4в=19
Вычтем из второго уравнения первое и получим 3в=12, в=4, а=3
Возведем радикалы в квадрат. Будем помнить, что потом надо будет проверить, что подкоренные выражения неотрицательны.
Получим 21х+4у=9
х-5у=16
Умножим второе уравнение на 21
21х-105у=336
Вычтем его из первого ур-я.
109у=-327
у=-3
х=1
Проверим подкоренные выражения. 21-12 больше 0, 1+15 больше 0. Значит это решение.
Ответ: х=1, у=-3
Получим а+в=7
а+4в=19
Вычтем из второго уравнения первое и получим 3в=12, в=4, а=3
Возведем радикалы в квадрат. Будем помнить, что потом надо будет проверить, что подкоренные выражения неотрицательны.
Получим 21х+4у=9
х-5у=16
Умножим второе уравнение на 21
21х-105у=336
Вычтем его из первого ур-я.
109у=-327
у=-3
х=1
Проверим подкоренные выражения. 21-12 больше 0, 1+15 больше 0. Значит это решение.
Ответ: х=1, у=-3
Вас заинтересует
3 года назад
3 года назад
8 лет назад
8 лет назад
10 лет назад
10 лет назад
11 лет назад