Ответы
Ответ дал:
0
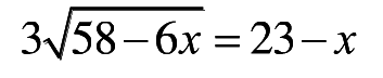
Возведем обе части в квадрат.
9*58-54х=4
9*29-27х=2
27х=259
х=9 16/27
Проверим, что подкоренное выражение больше 0.
6х=54+2*32/9=54+7 1/9.
=61 1/9
Но это число больше 58, значит нет решений.
Ответ: Нет решений
9*58-54х=4
9*29-27х=2
27х=259
х=9 16/27
Проверим, что подкоренное выражение больше 0.
6х=54+2*32/9=54+7 1/9.
=61 1/9
Но это число больше 58, значит нет решений.
Ответ: Нет решений
Вас заинтересует
3 года назад
3 года назад
8 лет назад
8 лет назад
10 лет назад
11 лет назад