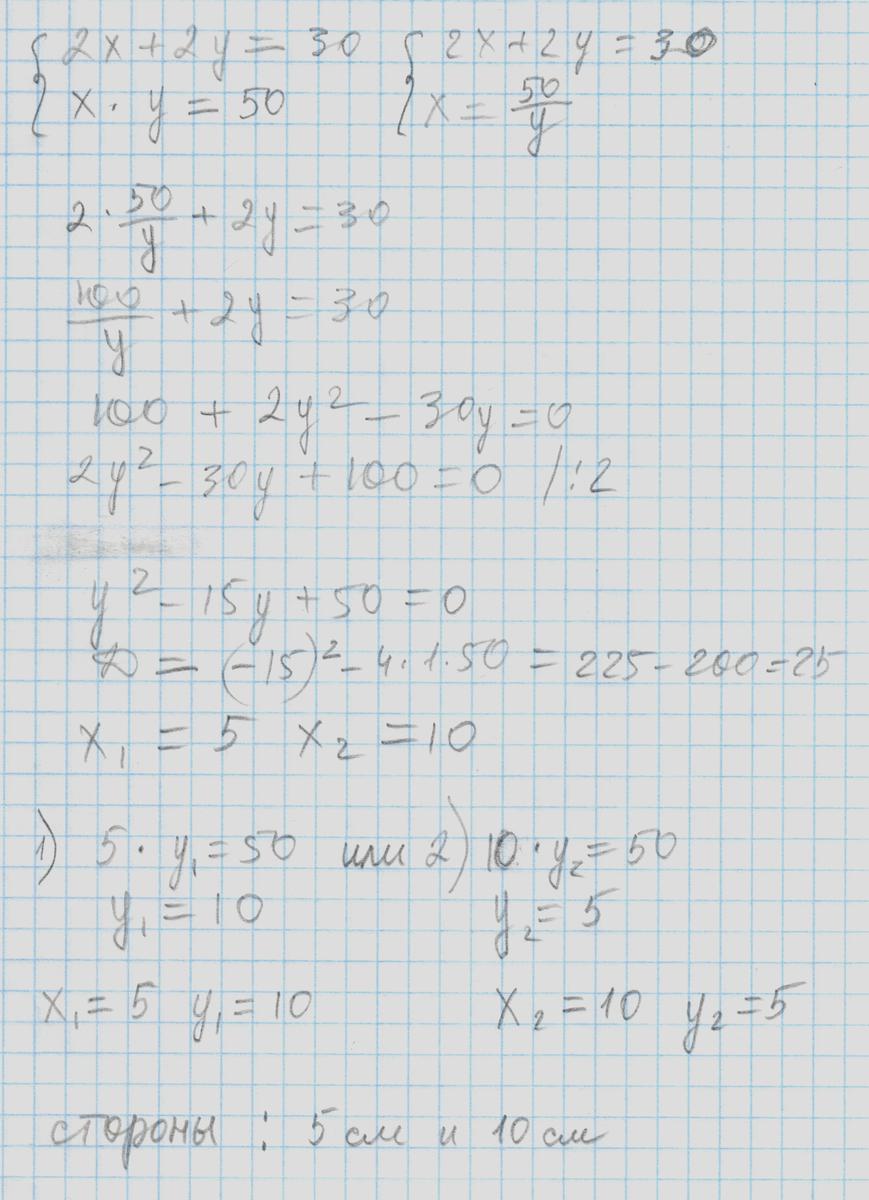
Помогите пожалуйста периметр прямоугольника равен 30м а его площадь 50м2 . найдите стороны прямоугольника
Ответы
Ответ дал:
0
...................................................
Приложения:

Вас заинтересует
2 года назад
7 лет назад
7 лет назад
10 лет назад
10 лет назад
10 лет назад