Ответы
Ответ дал:
0
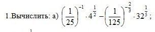
Ответ смотрите на фото.
Приложения:

Ответ дал:
0
спасибо вам огромное
Ответ дал:
0
Решение смотри в приложении
Приложения:

Вас заинтересует
2 года назад
2 года назад
7 лет назад
7 лет назад
10 лет назад
10 лет назад
10 лет назад
10 лет назад