Ответы
Ответ дал:
0
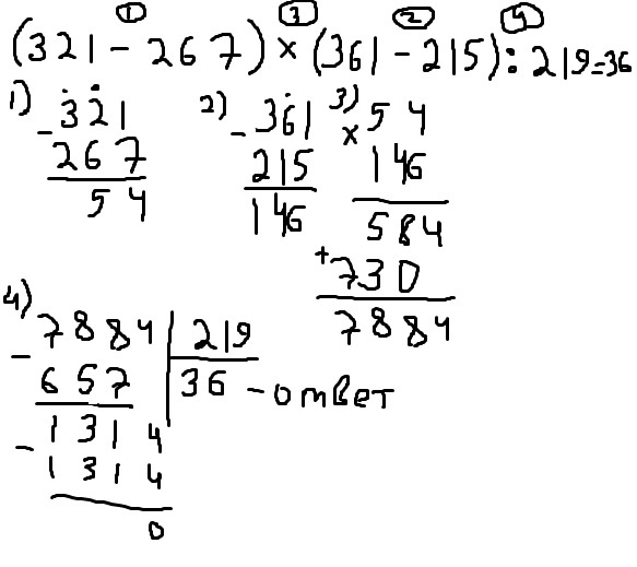
(321-267)*(361-215):219
Приложения:

Вас заинтересует
2 года назад
7 лет назад
7 лет назад
10 лет назад
10 лет назад