• Предмет: Геометрия
  • Автор: Ilyacss2015
  • Вопрос задан 10 лет назад

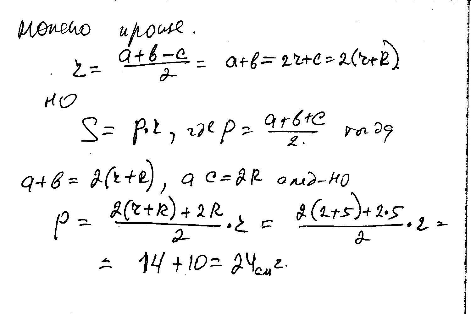
Найдите площадь прямоугольного треугольника, если радиус вписанной в него окружности r=2 см, а радиус описанной окружности R=5 см. (помогите пожалуйста)

Ответы

Ответ дал: ужнеужели
0
решение (2 варианта) в скане...........
Приложения:
Вас заинтересует