• Предмет: Алгебра
  • Автор: кентттт
  • Вопрос задан 10 лет назад

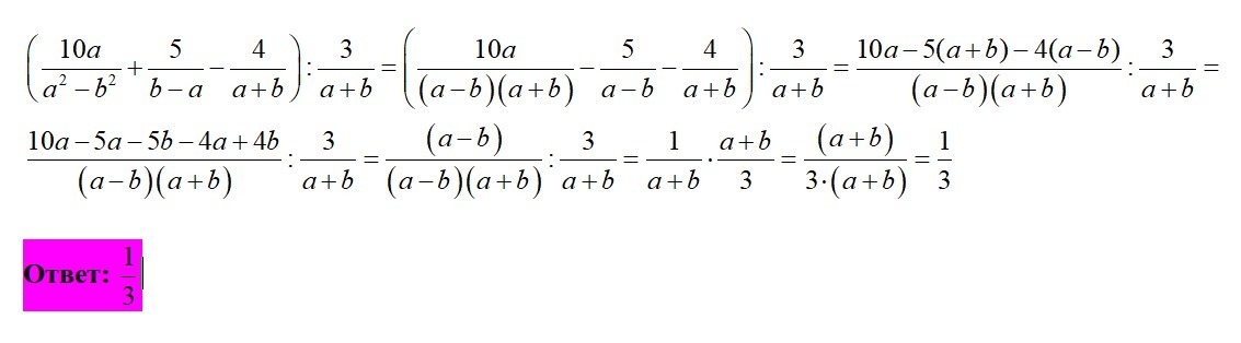
Упростите выражение
(10a/a^2-b^2 + 5/b-a - 4/a+b) разделить на 3/a+b
Срочно...спасибо)

Ответы

Ответ дал: justcall
0

Решение во вложении.

Приложения:
Вас заинтересует