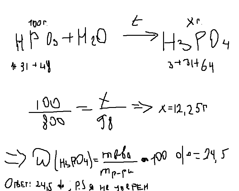
100 г метафосфорной кислоты растворили при нагревании в 50 мл воды. Какое вещество полуичлось в растворе и какова его массовая доля в растворе?
Ответы
Ответ дал:
0
HPO3+H2O= H3PO4 получаем ортофосфорную кислоту
Приложения:

Вас заинтересует
2 года назад
8 лет назад
10 лет назад
10 лет назад
10 лет назад