• Предмет: Математика
  • Автор: ritallo
  • Вопрос задан 10 лет назад

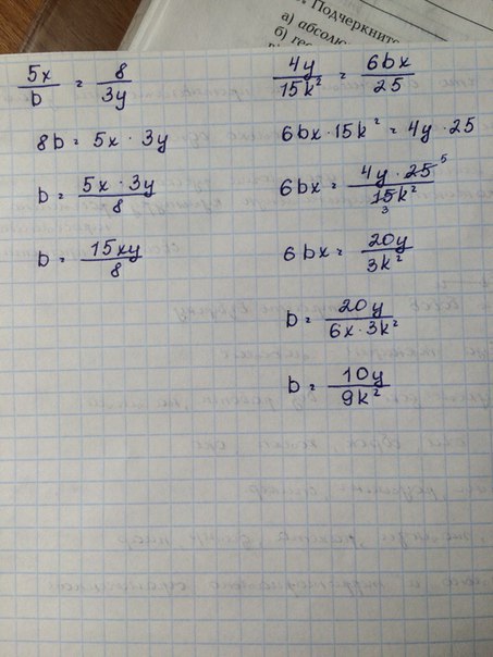
Вырази из данного равенства переменную b:
a) 5x÷b=8÷3y
б) 4y÷15×(k во 2 степени)=6bx:25

Ответы

Ответ дал: Виктория1399
0
Надеюсь что все правильно,если обнаружите ошибку,то пишите
Приложения:
Вас заинтересует