• Предмет: Алгебра
  • Автор: lanayv
  • Вопрос задан 10 лет назад

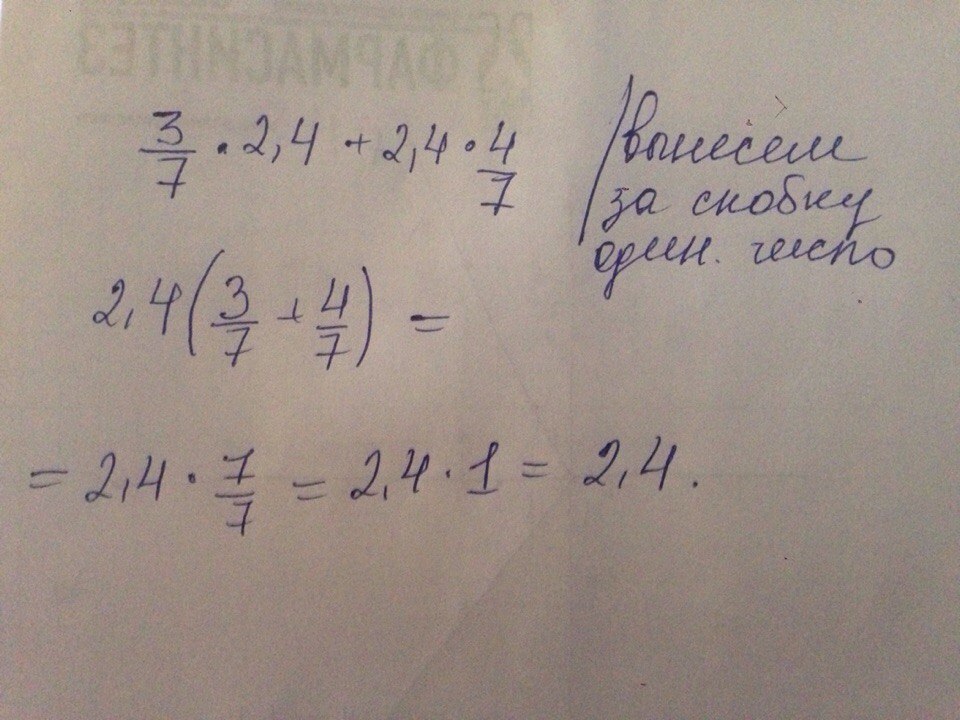
найдите значение выражения 3/7(дробь) * 2,4 + 2,4 *4/7 (дробь)

Ответы

Ответ дал: Аноним
0
2,4*(3/7+4/7)=2,4*1=2,4
Ответ дал: Horroko
0
Выносим общее число за скобку,а именно 2,4 и в скобках остается сумма дробей,которая равна 1.
Приложения:
Вас заинтересует
3 года назад