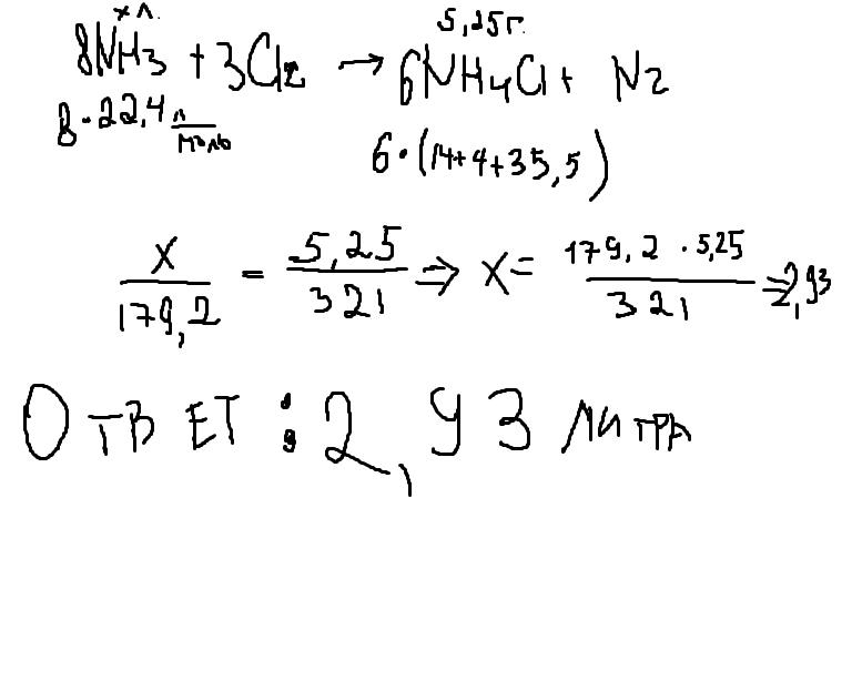
какой объём аммиака(н.у.)необходимо взять для получения хлорида аммония массой 5.25г.? помогите!!!!срочно нужно!!
Ответы
Ответ дал:
0
вот проверьте))1111111
Приложения:

Вас заинтересует
2 года назад
2 года назад
8 лет назад
10 лет назад
10 лет назад
10 лет назад