Ответы
Ответ дал:
0
Решение
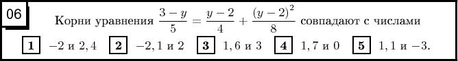
[8*(3 - y) - 10*(y - 2) - 5*(y - 2)²] / 40 = 0
24 - 8y - 10y + 20 - 5y² + 20y - 20 = 0
5y² - 2y - 24 = 0
D = 4 + 4*5*24 = 484
y₁ = ( 2 - 22)/10
y₁ = - 2
y₂ = ( 2 + 22)/10
y₂ = 2,4
[8*(3 - y) - 10*(y - 2) - 5*(y - 2)²] / 40 = 0
24 - 8y - 10y + 20 - 5y² + 20y - 20 = 0
5y² - 2y - 24 = 0
D = 4 + 4*5*24 = 484
y₁ = ( 2 - 22)/10
y₁ = - 2
y₂ = ( 2 + 22)/10
y₂ = 2,4
Вас заинтересует
3 года назад
3 года назад
8 лет назад
10 лет назад
10 лет назад
11 лет назад