• Предмет: Математика
  • Автор: NassI
  • Вопрос задан 10 лет назад

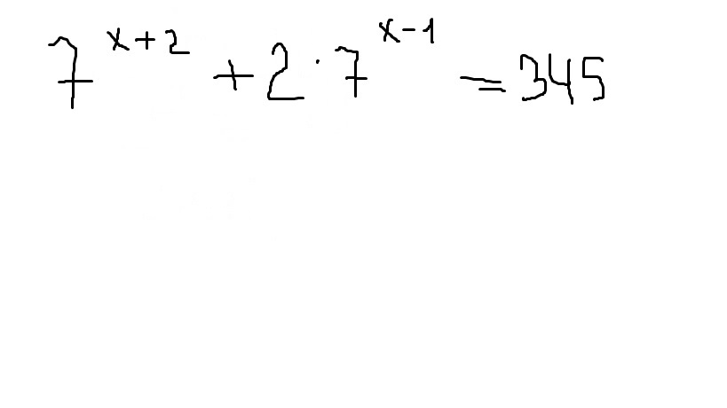
Решите срочно пожалуйста.

Приложения:

Ответы

Ответ дал: ВладимирБ
0
Решение смотри в приложении
Приложения:
Вас заинтересует