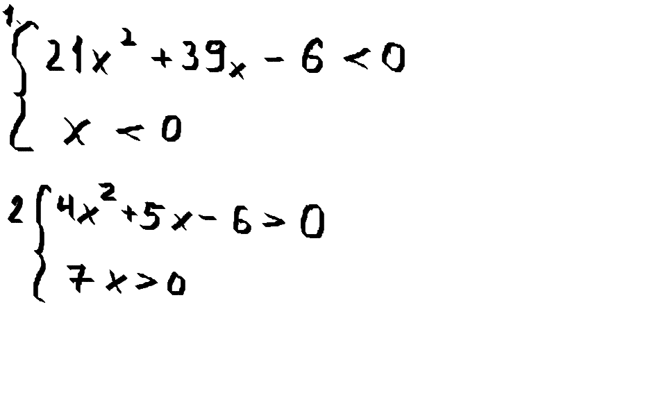
Здравствуйте дорогие друзья. Нужно решить системы неравенств. Данные системы вы можете посмотреть в фото. (Все вопросы прошу задавать в комментарии а не в писывать их в ответ, за данное нарушение буду наказывать)
Приложения:

Ответа на этот вопрос пока нет. Попробуйте найти его через форму поиска.
Вас заинтересует
2 года назад
7 лет назад
7 лет назад
10 лет назад
10 лет назад