• Предмет: Алгебра
  • Автор: ElinaKravchenko
  • Вопрос задан 10 лет назад

ПОМОГИТЕ, ПОЖАЛУЙСТА, КАК МОЖНО СКОРЕЕ!!!
Алгебра 10-11 класс Автор: Алимов

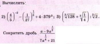
Приложения:

Ответы

Ответ дал: ВладимирБ
0
Решение смотри в приложении
Приложения:
Ответ дал: ElinaKravchenko
0
Спасибо огромнейшее! Очень выручили! )
Ответ дал: ElinaKravchenko
0
могу ли я попросить вас о помощи ещё раз?
Вас заинтересует