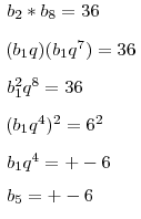
Произведение второго и восьмого членов геометричесой прогрессии равно 36. Найти пятый член этой прогрессии.
Ответы
Ответ дал:
0
Произведение второго и восьмого членов геометричесой прогрессии равно 36. Найти пятый член этой прогрессии.
Решение таково:
Приложения:

Вас заинтересует
2 года назад
8 лет назад
8 лет назад
10 лет назад
10 лет назад