Ответы
Ответ дал:
0
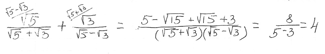
вот решение обведенного примера
Приложения:

Ответ дал:
0
Приложения:

Вас заинтересует
2 года назад
2 года назад
8 лет назад
10 лет назад
10 лет назад
10 лет назад