• Предмет: Алгебра
  • Автор: товстуха
  • Вопрос задан 11 лет назад

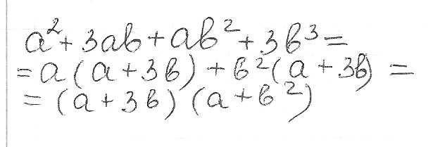
Пдайте у вигляді добутку a^2+3ab+ab^2+3b^3

Ответы

Ответ дал: Ellenochka
0

вот такое будет решение

Приложения:
Вас заинтересует