• Предмет: Алгебра
  • Автор: WOMENI
  • Вопрос задан 10 лет назад

Помогите решить ,заранее благодарю !!!

Приложения:

Ответы

Ответ дал: ВладимирБ
0
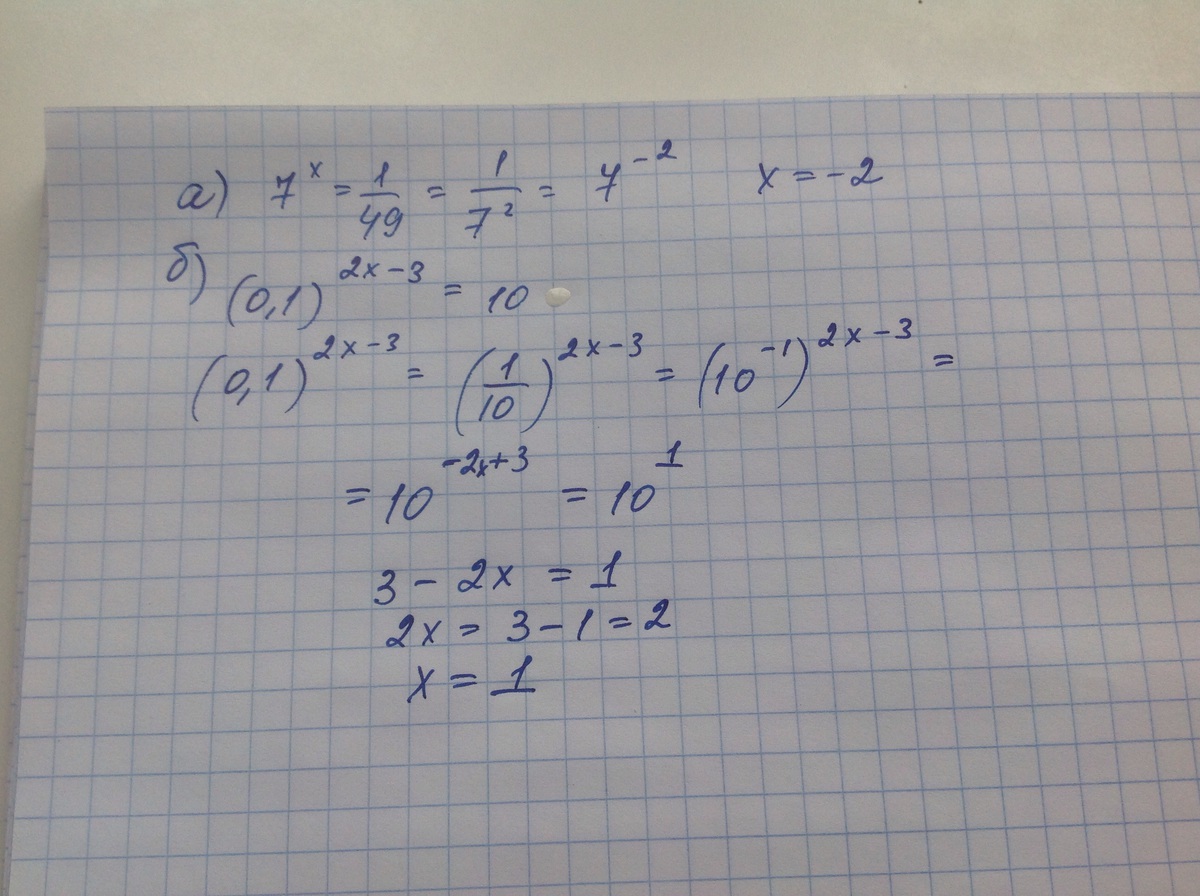
Решение смотри в приложении
Приложения:
Ответ дал: WOMENI
0
спасибо большое )
Ответ дал: Эксперт5
0
7^x= frac{1}{49}\7^x=7^{-2}\x=-2\\(0,1)^{2x-3}=10\(10^{-1})^{2x-3}=10\10^{3-2x}=10^1\3-2x=1\-2x=1-3\-2x=-2\x=1
Приложения:
Вас заинтересует