• Предмет: Алгебра
  • Автор: Аноним
  • Вопрос задан 10 лет назад

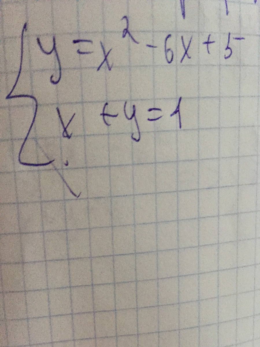
Решите график функций девятый класс
У меня экзамен помогите ребята

Приложения:

Ответы

Ответ дал: 19Karinka98
0
у=1-х
1-х=х^2-6х+5
х^2-5х+4=0
х1=5, х2=4
х=5, у=-4, строишь точку (5;-4)
х=4, у=-3, точка (4;-3)
Ответ дал: Аноним
0
Карина задачу реши пожалуйста я сфотаюсь щас закину пожалуйста
Ответ дал: Аноним
0
закинула посмотри
Ответ дал: Аноним
0
Кариша помоги прошу я закинула(((
Вас заинтересует