• Предмет: Математика
  • Автор: difriz
  • Вопрос задан 10 лет назад

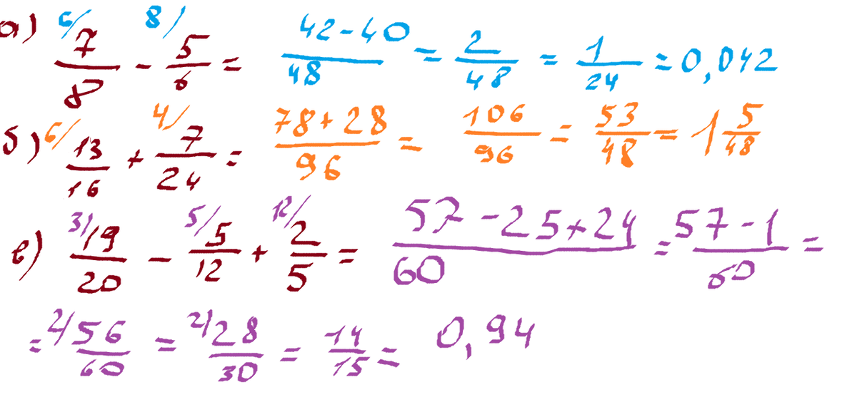
Выполните действия а) 7/8-5/6; б) 13/16+7/24; в) 19/20-5/12+2/5

Ответы

Ответ дал: Толстая1
0
вот............................................
Приложения:
Ответ дал: difriz
0
нечево
Ответ дал: difriz
0
там такой мелкий шрифт
Ответ дал: Толстая1
0
Не нравится ,сам подумай и напиши
Ответ дал: difriz
0
вот и в чем смысл я не могу а кто-то помагает!
Ответ дал: Толстая1
0
нажми на картинку,которую я тебе отправила(сюда),и кликни снова
Вас заинтересует