Ответы
Ответ дал:
0
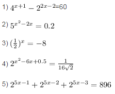
Решение смотри в приложении
Приложения:



Ответ дал:
0
можно пятый подробнее ?)
Ответ дал:
0
Можете пояснить 5 номер вторую строчку?
Вас заинтересует
2 года назад
7 лет назад
10 лет назад