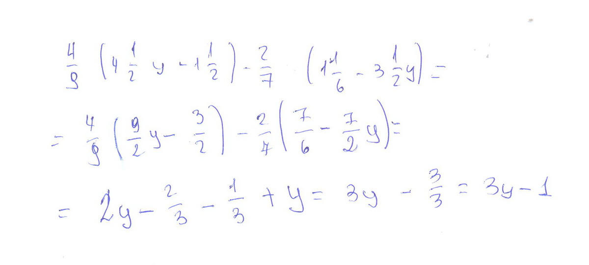
ПОМОГИТЕ ПОЖАЛУЙСТА!! СРОЧНО НАДО !!!упростите выражение 4/9*(4 целых 1/2у-1 целая 1/2)-2/7*(1 целая 1/6-3 целых 1/2у)
Ответы
Ответ дал:
0
Мне лень было печатать, поэтому вот) Надеюсь,помогла:) Если не сложно,отметьте мой ответ лучшим! Вам - пустяк, а мне нужно^^
Приложения:

Вас заинтересует
2 года назад
2 года назад
7 лет назад
10 лет назад
10 лет назад
10 лет назад