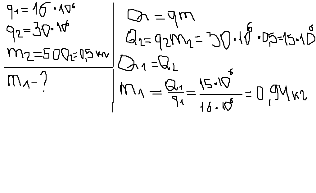
какую массу керосина нужно сжечь чтобы получить столько же энергии, сколько ее выделяется при сгорании каменного угля массой 500г. ( Удельная теплота сгорания керосина 16*10 6 дж/кг, каменног угля 30*10 6 дж/кг
Ответы
Ответ дал:
0
.........................................
Приложения:

Вас заинтересует
2 года назад
7 лет назад
10 лет назад
10 лет назад